
Web10 lignesthe conversion factor from inches to meters is 0. 0254, which means that 1 inch is equal to. Webto calculate 24 inches to the corresponding value in meters, multiply the quantity in inches by 0. 0254 (conversion factor). In this case we should multiply 24 inches by 0. 0254 to get. Webconvert 741. 24 inches to meters (in to m) with our unique unit conversion calculator and conversion tables.
Isa Isahin Ang Mga Tauhan Sa Kwento, MGA TAUHAN SA NOLI ME TANGERE, 15.06 MB, 10:58, 43,812, Padayon Wikang Filipino, 2021-05-16T03:45:21.000000Z, 19, Isa-isahin ang mga tauhan sa kwentong "Ang Kulapi" at ang mga katangian, brainly.ph, 720 x 786, jpeg, ang nito kwentong tauhan katangian, 20, isa-isahin-ang-mga-tauhan-sa-kwento, Trending Topic
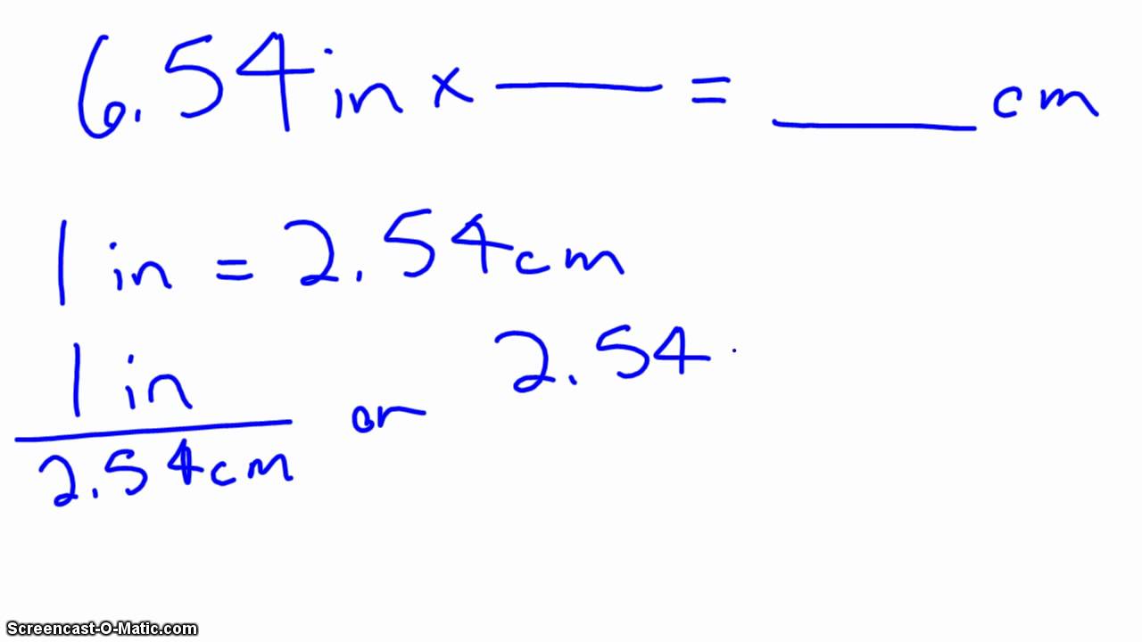
Webinches to meters formula m = in 39. 370 meters the metre is a unit of length in the metric system, and is the base unit of length in the international system of units (si). Webconvert 24 inches to meters (in to m) with our conversion calculator and conversion tables. To convert 24 in to m use direct conversion formula below. 24 in = 0. 6096 m. Webconvert inches to meters. Please provide values below to convert inch [in] to meter [m], or vice versa. In) is a unit of length in. Web9 lignesyou are currently converting distance and length units from inches to meters. Webfeet to meters conversion formula:
Watch Conversion inches to meters popular
Topics ✅ Convert Inch to Meter (in to m) - Formula, Example, Convertion Factor New
Videos How to Convert Inch to Meter, Meter to Inches, Inches to Centimeter, Millimeter to Inches Latest
Subject How to convert meter(m) to feet(ft) and feet to meter / feet to meter and meter to feet conversion popular
Here How to Convert Meters to Feet and Feet to Meters Latest
Topics 24 inches in cm
Watch Metric Units of Length | Convert mm, cm, m and km trending
News Measure tape in feet,inch,mm,cm,meter | measure tape tricks trending
News Ex: Convert Height in Feet and Inches to Inches, Centimeters, and Meters viral
View How To Convert Cubic Centimeters to Cubic Meters - cm^3 to m^3 - Volume
Explanation 24 Inches To Meters from the discussion earlier
Currently - 24 Meters To Feet Converter | 24 m To ft Converter trending

View 59 best Length Conversion images on Pinterest | Length measurement, Cm

Articles Custom Printed 24 inch Alumicolor Stainless Steel Ruler viral

Subject Metric conversion chart, Metric conversions, Metric popular

Let's see Pin on Math, Language, Art, Social Stydies, & Science viral

Subject 24 Inches To Cm trending
About Pin on Fabric Tips

Photos Metric Prefix Chart For Kids Printable | Printable chart, Conversion

About Épinglé sur homeschooling New

Articles Visual Metric Conversion Charts | Woodworking basics, Wood crafting










